ECC
ECC
ECC | Lazzaro (lazzzaro.github.io)
椭圆曲线加密算法最通俗的解释 不需要数学基础(2)ECC加密算法_哔哩哔哩_bilibili
基本概念
椭圆曲线不是椭圆而是椭圆积分方程
一条椭圆曲线是在射影平面上满足威尔斯特拉斯方程(Weierstrass)所有点的集合
-
椭圆曲线的定义式:
一般方程:
-
1椭圆曲线方程是一个齐次方程
-
椭圆曲线都是关于X轴对称的曲线。
-
2曲线上的每个点都必须是非奇异的(光滑的),偏导数FX(X,Y,Z)、FY(X,Y,Z)、FZ(X,Y,Z)不同为0
-
3圆曲线的形状,并不是椭圆的。只是因为椭圆曲线的描述方程,类似于计算一个椭圆周长的方程故得名
-
椭圆曲线表达式
加法运算规则
P,Q,R如果在一条直线上,并且在椭圆曲线上,那么P+Q+R=0(椭圆曲线阿尔贝群)
为了避免p点没有切线,因此要满足
代数加法
几何加法
加法
A+B
二倍运算
2A
普通相交三点:P+Q+R=0
普通相交两点:P+P+Q=0,P+Q+Q=0 (一点相切)
垂直相交两点:P+Q+0=0 (垂直X轴)
垂直相交一点:P+P+0=0 (垂直X轴+一点相切)
离散化
椭圆曲线密码体制使用的是有限域上的椭圆曲线,即变量和代数为有限域中的元素。有限域GF(p)上的椭圆曲线是指满足方程
的所有点再加上一个无穷远点O构成的集合,其中a,b,x,y均在有限域上取值,p是素数。记为Ep(a,b)
椭圆曲线上的阶:椭圆曲线中元素的个数,表示|Ep(a,b)|
椭圆曲线上元素的阶: 记为ord§,令nP=O(无穷远点)的最小整数。
生成元: ord(G)=|Ep(a,b)|,则称G为Ep(a,b)的生成元,
椭圆曲线上的离散对数问题
ECC算法
参数选取:选定一条椭圆曲线 Ep(a,b),并取椭圆曲线上一点作为基点 G;(G是Ep(a,b)的生成元)
产生公钥和私钥:选择一个私有密钥 Sk (k<n),并生成公开密钥 Pk=SkG;
加密:将明文编码到 Ep(a,b)上的一点 M,并产生一个随机整数 r(0<r<n,n为 G 的阶数);C1=(C1,C2),C1=M+rPk和 C2=rG
解密:
M=C2-SkC1
C2-SkC1=M+rPk-SkrG=M+rSkG-SkrG=M
常见攻击
Smart’s attack
适用于:E.order()=p
即一个椭圆曲线的阶等于 p,意味着曲线上的点的数量与有限域的元素数量相同
p=h*n的椭圆曲线
脚本:
p =
A =
B =
E = EllipticCurve(GF(p),[A,B])##确定椭圆曲线
#给出两点P,Q
P = E(,)
Q = E(,)
def SmartAttack(P,Q,p):#寻找k
E = P.curve()
#构造扰动后的椭圆曲线
Eqp = EllipticCurve(Qp(p, 2), [ ZZ(t) + randint(0,p)*p for t in E.a_invariants() ])
P_Qps = Eqp.lift_x(ZZ(P.xy()[0]), all=True)
for P_Qp in P_Qps:
if GF(p)(P_Qp.xy()[1]) == P.xy()[1]:
break
Q_Qps = Eqp.lift_x(ZZ(Q.xy()[0]), all=True)
for Q_Qp in Q_Qps:
if GF(p)(Q_Qp.xy()[1]) == Q.xy()[1]:
break
p_times_P = p*P_Qp
p_times_Q = p*Q_Qp
# 获取 pP 和 pQ 的坐标
x_P,y_P = p_times_P.xy()
x_Q,y_Q = p_times_Q.xy()
phi_P = -(x_P/y_P)
phi_Q = -(x_Q/y_Q)
#计算离散对数 k = phi_Q / phi_P
k = phi_Q/phi_P
return ZZ(k)
r = SmartAttack(P, Q, p)
print(r)
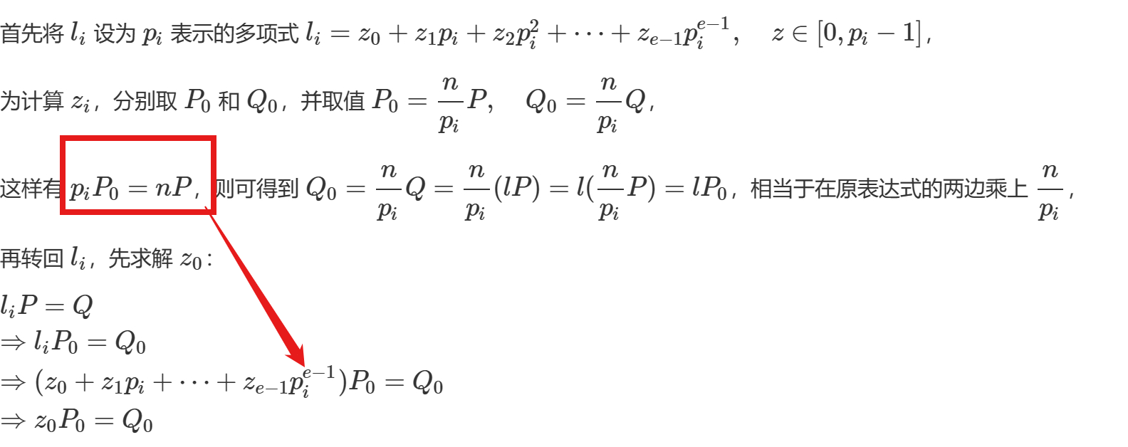
Pohlig-Hellman算法
主要解决:整数域中
里的 x以及椭圆曲线离散对数问题中 Gk=Q的 G的阶 n
P的阶n: nP=O
Q mod nP =l
Q mod n=l
Q 模上n的因数等于l
寻找在不同因子下的l的对应同余数li
脚本
#Sage Code 1
p =
a =
b =
#G P 两点坐标
gx =
gy =
px =
py =
E = EllipticCurve(GF(p), [a, b])
G = E(gx, gy)
n = E.order()
QA = E(px, py)
#n 的素因子
factors = list(factor(n))
m = 1
moduli = []
remainders = []
print(f"[+] Running Pohlig Hellman")
print(factors)
for i, j in factors:
if i > 10**9:
print(i)
break
mod = i**j
g2 = G*(n//mod)#G0
q2 = QA*(n//mod)#Q0
#discrete_log离散对数LiP0=Q
r = discrete_log(q2, g2, operation='+')
remainders.append(r)
moduli.append(mod)
m *= mod
#中国剩余定理
r = crt(remainders, moduli)
print(r)
#求出L,相当于求解出私钥
#Sage Code 2
E = EllipticCurve(GF(p), [a, b])
P = E()
Q = E()
factors, exponents = zip(*factor(E.order()))
#factor(E.order())返回了一个由因子和指数组成的元组列表,zip将因子和指数分别放入两个独立的元组中。
primes = [factors[i] ^ exponents[i] for i in range(len(factors))][:-2]
print(primes)
dlogs = []
for fac in primes:
t = int(int(P.order()) // int(fac))
dlog = discrete_log(t*Q,t*P,operation="+")
#t*Q=Q0
dlogs += [dlog]#li
print("factor: "+str(fac)+", Discrete Log: "+str(dlog))
l = crt(dlogs,primes)
print(l)
ECDSA
ECDSA(Elliptic Curve Digital Signature Algorithm)是一种基于椭圆曲线密码学的数字签名算法。它是公钥密码学体系中的一部分,用于生成和验证数字签名












